来源 | 赛柏蓝
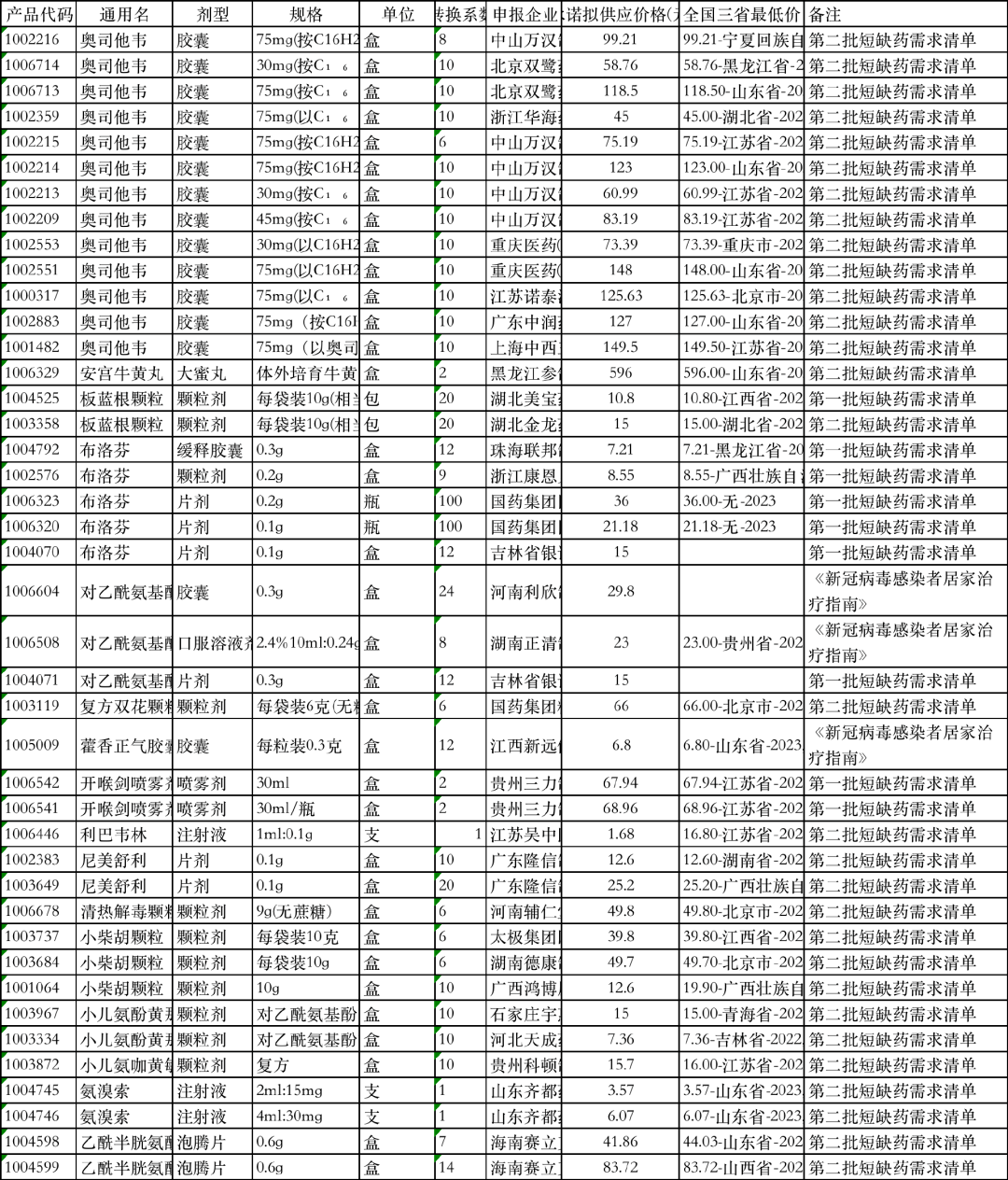
奥司他韦、安宫牛黄丸、布洛芬等药品被纳入短缺药需求清单,并加速挂网。
关于短缺药品,3月19日,在中国医药工业信息中心举办的“(第十五届)中国医药战略大会”上,赛柏蓝了解到,有嘉宾分析称,“甚至有0.3%的品种是被500-900家企业持有批文,反而这样的品种更容易短缺”。
一些防疫品种被疯抢的同时,钱币的另一面——2022年的中药行业,整体利润却有所下降。“下降的重要原因是中药材涨价,比如荆芥、连翘等防疫相关品种价格大幅上涨,导致企业成本上升”。
01
奥司他韦、安宫牛黄丸等药品
被纳入短缺药需求清单
奥司他韦“保供”各地已有动作。
3月21日,甘肃省发布《关于公布省级短缺预警药品奥司他韦应急挂网结果的通知》;同一天,湖南省医保局发布《关于启用磷酸奥司他韦胶囊备供机制的通知》;前几日,河南、甘肃也陆续发布相关文件。
根据河南省医药集中采购平台发布的《关于公布奥司他韦胶囊等药品挂网采购的通知》,经医保局同意,将近期申请挂网的部分供应紧张药品予以公布。
公布的42个挂网药品清单中,除了奥司他韦胶囊、安宫牛黄丸,还有布洛芬、对乙酰氨基酚、小柴胡颗粒、氨溴索、藿香正气水等,涉及江苏吴中、太极集团、华海药业等30家药企。
这也从侧面说明,除了奥司他韦目前在多地出现短缺外,曾被疯狂囤货的布洛芬、对乙酰氨基酚等药品需求又起。
有知情人士向赛柏蓝表示,山东地区,“这几天儿科甲流患者一直没少,缺货太严重;医药代表也急得团团转,一点办法也没有;陆陆续续来点货,根本不够医院几分钟抢的;医生也只能跟家长说没有奥司他韦,而家长也基本知道这个药难买,都在自己想办法。”
名单中的多数药品,已不是新面孔,从备注来看,多为第一、二批缺缺药需求清单、以及《新冠病毒感染者居家治疗指南》中的药品,也是去年年底被居民疯抢、药店疯狂囤货的对象。
一家同样生产奥司他韦的药企向赛柏蓝表示,“本来东阳光可以卖给他们一些原料药,但现在东阳光的原料药只能优先供应自己”。
从这个角度来看,供应问题,已从市场终端上升至原料药的供应。
不少中成药更是如此。例如,安宫牛黄丸中的牛黄和麝香原料来源是产品竞争的核心之一。
2022年的中药行业,也因原料药、中药材的价格上涨而导致利润下降。
近日,中国医药管理协会发布的《2022年医药工业经济运行情况》提到,2022年中成药生产、中药饮片加工2个子行业营业收入同比增长分别为5.6%、5.5%,但利润却分别同比下降1.1%、31.9%。“下降的重要原因是中药材涨价,比如荆芥、连翘等防疫相关品种价格大幅上涨,导致企业成本上升”。
02
较多厂家拥有批文的品种
更易短缺?何解?
目前对于易短缺药品,多地已开辟绿色通道,加速挂网。
至于能否真正解决问题?还需要从供需两方面来看。
首先,需求方面,甲流是否迎来拐点很关键。
根据中疾控最新发布的数据,2023年第10周(3月6日-12日),全国哨点医院流感阳性率连续七周攀升,已达到53.2%。
3月20日,中国疾控中心病毒所国家流感中心主任王大燕表示,此次流感活动水平在2023年2月初开始升高,2月底后上升趋势明显,到3月中旬已经进入高峰期。虽然目前整体仍处于高位,但我们也监测到有几个省份流感活动高峰已经出现拐点,开始下降。
若部分省份已出现本轮流感拐点,短缺现象或有望缓解。
从供应端来看,虽然上述短缺品类,有多家企业拥有批文,但因原料药问题,一样可能出现短缺。
在“(第十五届)中国医药战略大会”——“药品准入与创新战略论坛”上,一位演讲嘉宾表示,日前国家卫健委关于短缺药品都有相关课题,领导们也比较关注,当时提出的一个假设是,短缺药品与企业规模有没有关系。
一系列调研发现,“甚至有0.3%的品种是被500-900家企业持有批文,反而这样的品种更容易短缺”,上述人士进一步表示,“我国国内持有有效批文的制药企业数约是美国市场的4.3倍,但有的时候,企业持有了批文或这个品种,并不代表它一定是个有价值的批文或品种”。
很多时候确实如此,一些易短缺药品,虽有较多厂家拥有批文,但原料药厂家或原料药优势厂家就那几个——例如,国内拿到布洛芬注册批文的企业超500个,仍出现短缺问题。
除此之外,为应对甲流,多地也发布了流感用药推荐目录,但对于奥司他韦的需求未减;一位药店人士表示,“虽有推荐其他用药,但现在很多人只认奥司他韦颗粒”。
3月15日,国家卫健委药物政策与基本药物制度司发布《短缺药品保供稳价近期工作》,表示将助力解决群众关切、社会关注的短缺药品供应保障问题,同时,税务总局部署将对部分涉税风险较高的医药企业开展检查,涉嫌垄断相关信息、药品短缺和涨价线索等方面,将是核查重点。
附:
2023年北京春季流感中医药防治方案(试行)

陕西省2023年流感中医药防治方案(试行) 陕西省2023年成人流感中医药治疗方案(试行)
重庆市2023年春季流感中医药防治指导方案(试行)










四川省2023年春季流感中医药防治指导方案(试行)
2023年河北省春季流行性感冒中医药防治方案 
2023年上海春季流感中医药防治方案(试行) 













2023年广州春季流行性感冒中医药防治方案(试行)

2023年云南省季节性流感中医药防治方案(试行)(部分)
甘肃省2023年流感中医药防治方案(部分)
声明:本文系转载内容,版权归原作者所有,转载目的在于传递更多信息,并不代表我方观点。如涉及作品内容、版权和其它问题,请与我方留言联系,我们将在第一时间删除内容。
2023年云南省季节性流感中医药防治方案(试行)(部分)
甘肃省2023年流感中医药防治方案(部分)
声明:本文系转载内容,版权归原作者所有,转载目的在于传递更多信息,并不代表我方观点。如涉及作品内容、版权和其它问题,请与我方留言联系,我们将在第一时间删除内容。

